《工地夫妻》原声版,黑客破居家解摄像头夫妻一过,吕总张金鱼三部曲都是什么

首页> 产品中心 > 阳离子纤维素系列

名称 :KY-30M

中文INCI名称/CAS号 : 聚季铵盐-10(Polyquaternium-10)
CAS:6861-92-4
外观 : 白色至浅黄色粉末 作用:优秀的高取代度柔顺调理剂 ,赋予头发优越的梳理性能和光泽滑爽的感觉。也可用于皮肤护理,起保湿、光滑和柔润作用。
详情描述 规格参数
  • 产品说明:

    KY-30M是具有优越水溶性和吸附能力的阳离子纤维素聚合物,能与阴离子、阳离子、非离子和两性离子表面活性剂兼容,刺激性低,其独特的阳离子性能可修复受损的头发蛋白质基体,保持头发滋润,赋予头发优越的梳理性能和亮泽滑爽的感觉。

    KY-30M也可应用于皮肤护理方面,能保持皮肤湿润,防止皮肤冻裂,令肌肤光滑柔润。

    CTFA名称:

    聚季铵盐-10


    CAS号:

        68610-92-4


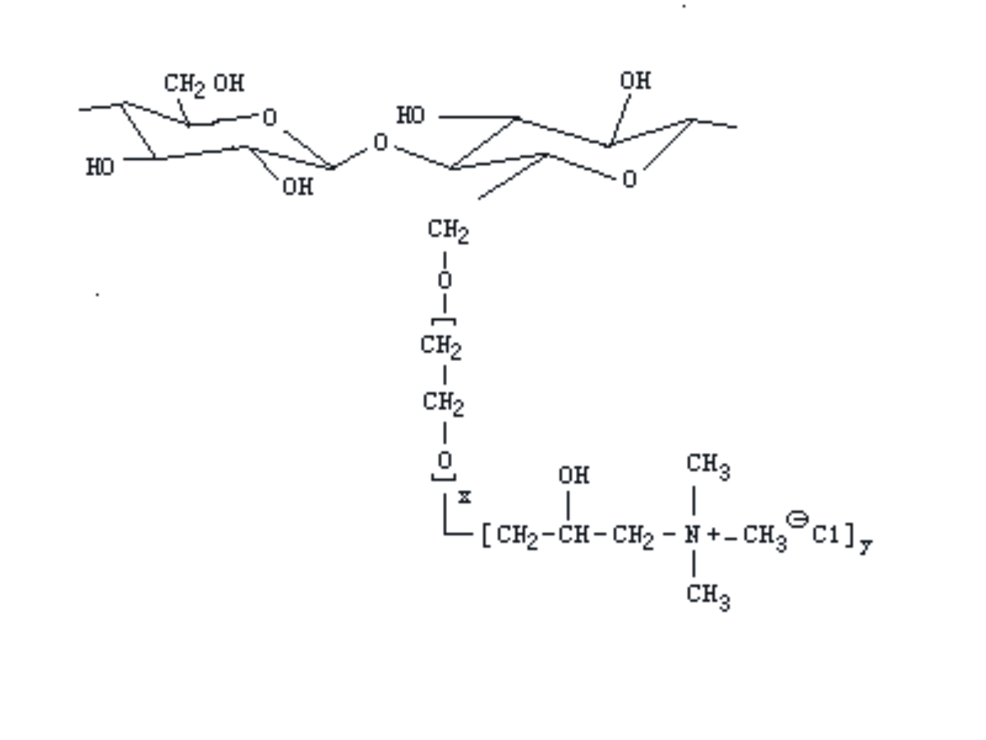
    化学结构:

        

    产品性能:

       用于头发

    ●   亲和力强

    ●   修补头发开叉

    ●   在头发上形成透明连续的薄膜

    ●   提供极佳的保湿性能

    ●   改善受损发质

     

     

      用于皮肤

                ●   亲和力强

    ●   极佳的用后感

    ●   提高皮肤抗紫外线能力


    使用说明:

       用户使用前请向供应商索取相关资料,使用过程中如有问题请致电:0086-757-83332545


    产品有效期:

       在40℃以下通风、避光、干燥环境中贮存,产品有效期为生产日期后24个月。


    包装规格:

        25kg/纸桶

  • 理化指标:

    外观:                                              白色至浅黄色粉末

    气味:                                              轻微特征气味

    干燥失重(%):                          ≤6

    灰分(%):                                 ≤3

    粘度(1%水溶液,20℃,cps):≥800

    含氮量(%):                              1.5-2.2

     

    产品有毒物质限量标准:

         名称            标准(mg/kg)


          汞                 ≤1

          铅                 ≤10

          砷                 ≤2

          镉                ≤5


  • 主站蜘蛛池模板: 长汀县| 大埔区| 潜山县| 明溪县| 桐柏县| 邵阳市| 浦东新区| 景泰县| 墨玉县| 阳曲县| 登封市| 龙川县| 威海市| 西和县| 县级市| 沙坪坝区| 洛川县| 佛山市| 大丰市| 溧阳市| 许昌市| 建水县| 普洱| 富川| 揭西县| 盐山县| 葵青区| 建平县| 尚志市| 抚松县| 彩票| 瓮安县| 华容县| 仁怀市| 黄龙县| 濮阳市| 德令哈市| 义马市| 永善县| 浠水县| 邵阳县|